Not for:
By the end of this workshop, you will be able to:


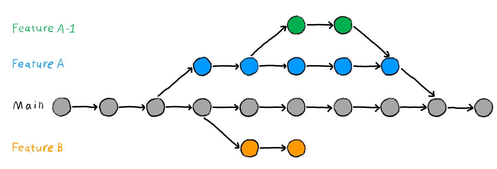
Version control is a systematic approach to record changes made in a file, or set of files, over time. This allows you and your collaborators to track the history, see what changed, and recall specific versions later when needed.
Git only tracks what’s changed between commits (called a diff):
Diff Example
Everyone is a member of this repository:
May involve…
Converse about the Pull Request
Participate in Code Reviews
Approve or Deny the Pull Request
Hopefully you will now be able to

https://github.com/fhdsl/cookbook_winter_2026